46.7 F
Chicago
Sunday, April 26, 2026

Dissecting A Modern Vaccine Propaganda Piece

Must read

Dissecting A Modern Vaccine Propaganda Piece

Authored by ‘A Midwestern Doctor’ via ‘The Forgotten Side Of Medicien’ Substack,

Recently, I published an article which discussed how science been hijacked by corporate interests and turned into a dogma no one is allowed to question. After Pierre Kory shared it, it ended up going viral on Twitter.

It got enough traction that even Hotez himself “responded” to it (normally he hides from every chance to debate) by retweeting a zealous adherent of his narrative.

Note: one of the most remarkable things about these tweets is that they disprove themselves, as they deny Hotez believes any of that, but simultaneously states that he does indeed believe it. As this article will show, that type of “logic” is a recurring theme with Peter Hotez.

Based on the feedback I received, I realized a lot of people were interested in knowing what was inside the book and why Hotez is such a frequent target of criticisms. Additionally, given Hotez’s “response,” I felt it was important to share exactly what he proposed doing to those who disagree with him and how the WHO is working behind the scenes to make that happen.

Why Is Peter Hotez Dangerous?

Hotez has long drawn the ire of the vaccine safety community because he will relentlessly defend the narrative and attack anyone who questions vaccine safety.

For example, many parents believe vaccines cause autism because they had a child who was completely normal who then received their vaccines, had a bad reaction to them and then rapidly regressed into permanent autism. Conversely, I do not know of any cases of a child rapidly regressing into autism immediately before their vaccination appointment (which one would expect to happen if the autistic regression “happened by chance”).

Note: I personally believe vaccines cause autism because I and colleagues have seen countless children who:

  • Have similar adverse reactions to vaccination (e.g., high fevers or a non-stop piercing cry) which is then followed by rapid autistic regression.

  • Have numerous signs that microstrokes occurred (e.g., impaired function of the nerves that innervate the face) along with a variety of biomarkers indicating they are trapped in the cell danger response or a hyper inflammatory state—all of which has also been observed by many other clinicians and are a common side effect of vaccination.

  • Improve once the blood flow to the brain is restored, the cell danger response is resolved, or the inflammation in their system is reduced. While this rarely results in a 100% recovery (due to the brain tissue that is permanently lost), we have many cases where we’ve observed remarkable improvements, even in cases that were treated decades after the initial injury.

Peter Hotez (a pediatrician) in turn has spent years speaking on the mainstream media to debunk any link between autism and vaccines, which eventually led him to write a book about his autistic daughter to “definitively” prove vaccines don’t cause autism that he then brandished around each time he spoke in public.

Note: Hotez’s book doesn’t actually disprove the link between vaccines and autism. Rather, it shares his own subjective trains of logic which predictably led him to conclude that it doesn’t make any sense vaccines could cause autism. Conversely, he reveals the limits of his pediatric knowledge (as he had to take his autistically regressing daughter to a specialist to get a diagnosis) and reveals that his daughter had numerous signs of a debilitating vaccine injury (e.g., the piercing cry) that Hotez to this day has not recognized.

While many things in it were quite cruel, some of the most noteworthy included:

  • Denouncing parents who wanted to consider the possibility vaccines caused autism because…it diverts some of the funding away from the social support offered to autistic individuals (which cannot come close to meeting the demand for it as caring for autistic individuals is expensive and more and more people are developing autism).

  • Insisting the only reason parents consider the autism vaccine link was because of a retracted paper Andrew Wakefield wrote (rather than because a lot of people witnessed severe injuries immediately following vaccination). This brief clip illustrates why I don’t support this gaslighting:

Note: for context, Wakefield’s infamous 1998 Lancet paper was simply a case study where 12 children who had experienced both neurological regression (i.e., autism) and gastrointestinal issues (e.g., abdominal pain) shortly after MMR vaccination then had their bowels examined where it was shown they did indeed have bowel inflammation. I have often thought the reason why this paper is still viciously attacked decades later is to both to dismiss the idea people might have a legitimate reason for believing vaccines cause autism and to send a harsh warning to the medical journals to never publish anything which threatens the narrative. I am mentioning that here because Hotez frequently utilizes a similar tactic to dismiss any notion severely injured patients might have that the COVID vaccine was responsible for their illness.

Due to his experience in “combatting vaccine misinformation” as public resistance grew towards the slew of mandates that were enacted across the nation during Obama’s presidency, Hotez became much more vocal in both denouncing the antivaccine movement. In turn, Hotez went on a speaking tour across the country calling for Silicon Valley to censor all criticisms of vaccination online.

During Trump’s presidency, Hotez began actively denouncing each science related policy Trump put forward, but once the Pandemic began, Hotez (an avowed left-wing partisan) became a constant cheerleader for Biden’s vaccine program.

In May of 2020, he published an article about COVID-19 and the antivaccine movement which concluded:

To mitigate the consequences of a reinvigorated antivaccine movement in America it will be essential for the White House, together with the NIH and other elements of our science infrastructure, to shape a well-crafted vaccine communication plan. They must also designate a trusted spokesperson who can articulate and carry the message.

While Hotez repeatedly criticized the coronavirus vaccination development efforts during Trump’s presidency (including doing so before Congress), once the administrations transitioned, Hotez quickly worked to become that spokesman and before long was seen on every network zealously promoting whatever the current vaccine messaging was.

Note: After George W. Bush won the nomination, he assigned Dick Cheney to determine who his vice president should be, who as we know was ultimately chosen for that role. I have often wondered if Cheney inspired Hotez to assume the role Hotez worked to create.

Remarkably (as shown later in this article), in addition to contradicting his previous warning against the vaccines, he quickly began contradicting what he had previous said on television (as the vaccines continually failed to meet their promise and the goal posts had to be moved again and again).

During his previous vaccine tour, like many, I erroneously assumed Hotez was a clown (as much of what he said was so absurd I didn’t see how anyone could take it seriously) and the best thing that could be done was to ignore him. This was a big mistake as Hotez’s speaking tour paved the way for the deadly mass censorship of lifesaving COVID-19 treatments and reports severe vaccine injuries we saw throughout the pandemic.

In his current tour, Hotez has continually advanced the idea that anyone who disagrees with the narrative (e.g., by questioning the safety or efficacy of the vaccines) is a danger to society and must be censored. Before long, that turned into for calls for the government to be mobilized against anyone who challenged the corporate “scientific” narrative):

Many of us recognized how dangerous Hotez’s message was and a successful grassroots campaign was conducted which took the wind out of this PR campaign.

Unfortunately, they haven’t given up. Hotez has been given a lot of media time to relentlessly promote a new book which argues “not trusting the science” will bring catastrophic death and the destruction, while the WHO in tandem is pushing for a treaty which will give them the ability to outlaw any dissent against their next pandemic response: (fwd to around 26:00)

Note: this video is really important to watch and it cuts to the heart of why Hotez’s book (which represents the tip of the spear to push the WHO’s provisions forward) is so important to expose.

From reviewing Hotez’s book, it’s quite clear it was targeted to an uninformed audience who are not aware of the broader context which immediately refutes most of his points. For this reason, I believe it’s important to provide that context.

Note: the degree of gaslighting in this book is astounding, and I would in turn advise against reading it if you were seriously harmed by the COVID-19 pandemic policies and are sensitive to someone saying all of that was in your head (this is also why so many parents of autistic children hold great disdain for Peter Hotez).

First Order Thinking

In medical education, one of the primary metrics everyone (e.g., both the students and schools) are judged on is their performance on board examinations, so a “subculture” exists which revolves around the intricacies of those examinations.

One of its foundational concepts are first order vs. second order vs. third order questions. In first order questions, you simply have to recall a testable factoid (e.g., which of the following is a side effect of ciprofloxacin), while in second order questions, you need to be able to link two memorized facts together (which of the following would be an expected side effect of the first line antibiotic to treat this infection), while in third order questions, you need to link three chains of memorized facts together (e.g., based on the patients symptoms, for the condition those symptoms suggest [with the condition not being stated in the question], what is the most common side effect of the drug that would be used to treat it).

Initially medical students receive more first order questions. Then, later in their training as they have more medical knowledge (e.g., they can instantly identify the infection being described by the question stem) their examinations test a great proportion of second or third order questions (you have to pass quite a few to get a medical license).

In the previous article, I argued that the main reason the vaccine propagandists won’t ever agree to public debate is because much of what they espouse has a high enough discordance with reality that it instantly falls apart under cross examination and second order thinking.

Note: in another article I provided numerous examples where the press allowed an open debate on a national vaccination campaign program and in each case public opinion rapidly turned agains the campaign. This predictably led to all discussions which did not wholeheartedly endorse the mantra “safe and effective,” being phased out of the media after Clinton enacted regulations in 1997 that allowed the pharmaceutical industry to buy out the press.

More than anyone else in America, Peter Hotez exemplifies this strategy as he constantly is brought on by compliant news hosts who echo everything Hotez says, but simultaneously, Hotez will never even go in front of a neutral audience who exposes his statements to a basic degree of scrutiny.

After I read his book, I had a realization; the majority of Hotez’s “arguments” are first order statements which immediately are invalidated if you know the related context. Furthermore, Hotez often provided the context that disproves his first order argument in another part of his book. This is remarkable and something I very rarely see authors do.

For example, he justifies the need for everyone to get a polio vaccination by…the fact people are catching polio from the polio vaccine.

Poliovirus strains continue to circulate in the environment primarily because gaps in vaccination facilitate ongoing transmission. In the US and UK cases, the poliovirus discovered was derived from a strain that originated from the live oral vaccine (vaccine-derived poliovirus, or VDPV) but mutated until it acquired characteristics that resembled a wild-type poliovirus. It can then propagate among the unvaccinated. Therefore, the presence of VDPV is a biomarker for “significant numbers of unvaccinated people.

Likewise, Hotez denounces RFK Jr. for falsely claiming that Hotez pushed to make criticizing Anthony Fauci a felony “I never said criticizing Dr. Fauci should constitute a felony.” Beyond failing to mention that RFK Jr. was simply referencing Hotez’s recent publication which called for criticizing scientists to become a hate crime, Hotez actually repeats that call that later in his book.

Note: this duplicity is analogous to how Hotez frequently says public statements which are disproven by previous public statements he’s made.

When this ridiculous style of rhetoric is used, it’s very easy to pick it apart. As a result, it can only work on an audience if they are put placed into a tunnel which emotionally hammers that narrative to the viewer (which sadly aptly describes much of the mainstream media), and likewise illustrates why those venues can never host a scientific debate.

Note: many medical students have shared with me how frustrating they find it that many of their supervising doctors will tell them something they are expected to perfectly memorize and fully believe, but simultaneously those doctors never do the work to provide the full context to their medical factoid and share the nuances behind it. Remarkably, those doctors often feel they “did an excellent job ‘teaching’ the material,” despite them having done nothing except repeat their own soundbites. This is very similar to Dr. Hotez’s method of “educating the public,” as he frequently refers to it as a heroic effort to educate the public, but all he actually does is repeat and repeat the first-order statements which conform to the current narrative.

Remarkably, in many cases, what Hotez proposes is so absurd, both sides of the political spectrum oppose it. For example, this is what an LGBTQ organization said in response to Hotez’s hate crime proposal (which Hotez of course refused to comment on):

Why the Hypocrisy?

No one is perfect, so to some extent everyone is hypocritical and because of this I frequently try to avoid having hypocrisy be a basis for attacking someone’s position.

In general, I find that subtle hypocrisy can only be recognized with second or third order thinking, whereas blatant hypocrisy is often evident to a first order thinker. For this reason, I typically only critique the most egregious examples.

In turn, one of the remarkable themes throughout the book is how often Hotez accuses the other side of doing what he is doing. For example he:

  • Laments the fact people are “persecuting” him by challenging or mocking his less than truthful statements, yet Hotez simultaneously calls for those he disagrees with to be silenced, cancelled and punished and omits to mention the professional, economic or criminal consequences those who oppose the narrative have faced (e.g., consider what Washington’s medical board just did to Ryan Cole because he saved people’s lives by prescribing ivermectin to them).

  • Falsely accuses the vaccine safety community of using the default approach he and the mass media use to defend the narrative:

Its propaganda campaigns employ multiple channels and media approaches in a blitz that is sometimes referred to as a “firehose of falsehood.” The messaging is described as high volume, multichannel, repetitive, and without consistency or even reality”

  • Attributes many of the well-known side effects of the vaccines to not enough people vaccinating:

Especially worrisome are the findings from Oxford University researchers showing gray matter brain degeneration from long COVID, with associated cognitive impairments. Such neurologic damage across large segments of the US population might also have been prevented if vaccines were accepted. There is an increasing body of evidence to suggest that COVID-19 vaccinations not only keep individuals out of hospitals and ICUs and prevent deaths but also reduce the frequency and impact of long COVID. The bottom line: We have not even begun to imagine the scope and scale of the mental health devastation that will result from long COVID, loss of parents and other caregivers, and heightened levels of anxiety from a traumatized American public. This occurred in no small measure because a critical mass of Americans refused COVID-19 vaccinations.

This conduct has of course led many to question what is motivating Hotez to do this. Presently, I believe three plausible explanations exist.

First, Hotez has fallen into such a deep hypnosis around his ideology (i.e., a “mass formation”) that he has lost the capacity to recognize how hypocritical and discordant with reality many of his positions are.

Second, Hotez’s business model revolves around branding himself as a champion of “science” and “neglected tropical diseases” (he even wrote a paper bragging about this) so he can get grants to develop vaccines for those diseases of poverty. This in turn requires him to get as much free advertising as possible (e.g., being brought on every day to speak about the COVID vaccines while simultaneously always being sure to mention his grift). His grift in turn has been remarkably successful as over the decades, he has diverted at least 100 million of grant money to his projects—much of which went into funding the creation of his hookworm vaccine which has still gone nowhere.

Note: I have often wondered if Hotez’s left-wing leanings have been influenced by the fact rapidly partisan liberal news networks were happy to give a platform to anyone who criticized Trump during his presidency.

Third, he (and likely the WHO) are aware that the public is waking up to what they pulled throughout COVID-19, and as a result, has realized the only option Hotez has is to double down on his audacious lies.

Note: it was repeatedly observed in the USSR that as their governments began to collapse (e.g., due to the communist economy imploding), the propaganda used to sustain the government became increasingly absurd and at odds with reality.

While I disagree with the overall message of Hotez’s book, I think many of the individual points he makes are valid. One of those is that there have been many previous periods in history where the public (or the government) eventually turned against its doctors or scientists. Hotez understandably pleads for this not to happen, but simultaneously fails to recognize that the dishonesty from many members of his profession is what’s actually causing that to happen and that if wants to prevent the public from rebuking his profession, honesty and humility rather than hypocrisy and manipulation is what’s needed to restore the public’s trust in science. People don’t like being gaslighted and no amount of propaganda can change that.

Demonizing the Opposition

One of the most frequent tactics used to defend an argument you can’t defend is to attack the other side’s character rather than their argument (which is known as an ad-hominem attack).

This tactic is the most common approach in Hotez’s book, and continually reminded of a well-known internet meme:

Hotez’s primary approach has been to associate much of the modern conservative movement with the term “far right,” a term that has become so broad it has become nothing more than a meaningless slander (e.g., I used to be “liberal” but now I’m “far right” because I always opposed catastrophic wars occurring overseas which squander our national budget to enrich war profiteers). Hotez in turn tries to make the “far right” sound as evil as possible while simultaneously associating “not trusting the science” with belonging to the “far right.” For example:

  • He continually tries to associate “anti-semitism” with any criticism of the COVID science.

  • He continually tries to associate individuals opposed to the January 6th protests with anti-vaccine sentiments, and hence argues that individuals with anti-vaccine views are also dangerous insurrectionists.

  • He continually emphasizes that certain Conservative groups like the Proud Boys (which have been labeled as being “far right”) are sometimes seen protesting in concert with anti-vaccine groups, and hence tries to juxtapose all the nasty labels the media has given to those groups onto everyone else there too.

Note: my own experience was that the only groups I saw behave in a fascist manner throughout the last 8 years were left-wing ones. However, since the media selectively focused on the right-wing ones, those without the complete context (e.g., first-order thinkers) were left with a very negative impression of the immense danger these right wing groups represented.

  • He chose to depict Canada’s trucker convey as a horrible act on the people of Canada (which I would argue was quite misleading). Additionally, Hotez emphasized that Swastikas were there in order to argue the protest was infested with Nazis, while neglecting to mention (which even Snopes acknowledged) that a small number on Nazi symbols were there and were clearly directed at protesting Canada’s Nazi-like behavior, not to be an endorsement of Nazism.

  • He continually repeats the trope that anti-vaccination content is Russian propaganda being flooded to destabilize the United States and implies anyone who doesn’t support the vaccine narrative is a traitor to the country (likewise Hotez repeatedly claims he and his fellow scientists are the “true patriots”).

Likewise, he used many other made-up slanders, which are non-sensical, but leave an uninformed reader with a very bad impression of what’s happening:

Berenson and other prominent vaccine skeptics, including those connected to the “Intellectual Dark Web,” who challenge liberal ideologies while in some cases openly espousing anti-vaccine viewpoints, have appeared on the Joe Rogan Experience, one of the most popular podcasts around the world, with more than 100 million downloads per month.

Note: one of my favorite Hotez-isms was how he “addressed” the fact that people who hold opposing views to him have a much better case for their position by saying the following:

Oftentimes, the arguments of the contrarian intellectuals are extremely clever, using real facts woven together in devious ways to spin false narratives about the ineffectiveness or harmful outcomes of COVID-19 vaccinations and other prevention measures.

In parallel to this, Hotez repeatedly asserts that many people died as a result of their choice not to follow the COVID-19 mitigation policies (e.g., he repeatedly cites the claim 200,000 people died because they weren’t vaccinated during the Delta Wave), and in turn uses this relentlessly argue that “antiscience” can’t be ignored because it’s killing a lot of people.

The problem with this argument is that there’s a great deal of data showing the exact opposite of everything Hotez claims (additionally, keep in mind how many times Hotez stopped claiming much of what he previously said about the vaccines when he tried to sell them to America over the News Networks—and in many cases then denied ever having said his original statements).

For example, across the world, after the vaccines were introduced, deaths significantly increased, which was the opposite of what had been expected to transpire with the virus over time (as we’d already developed a degree natural herd immunity to the virus, the most vulnerable members of society had already died, more was known about treating it, and over time viruses typically mutate to less deadly variants). Yet, instead COVID became much more deadly once the COVID-19 vaccines hit the market (something quite a few people had sadly predicted would happen).

Note: to some extent Hotez acknowledges this by stating—”In 2021, the third year of the pandemic [and the year the vaccines hit the market], the deaths from COVID-19 really began to climb. Initially it was a terrible wave from the Alpha variant in the winter, followed by a summer–fall Delta wave.”

Furthermore, in each case where it was possible to track the change in excess deaths once the vaccines was received by a large group of people, the same pattern was seen:

Note: current estimates are that the vaccine has killed around 1 in 800 people, or around 17 million people world wide. Tragically, this does not even account for the far more common debilitating but not life threatening injuries many have experienced after vaccination (e.g., one large survey found 34% of Americans believed they experienced a minor side effect from the vaccines while 7% believed they’d experienced a major one).

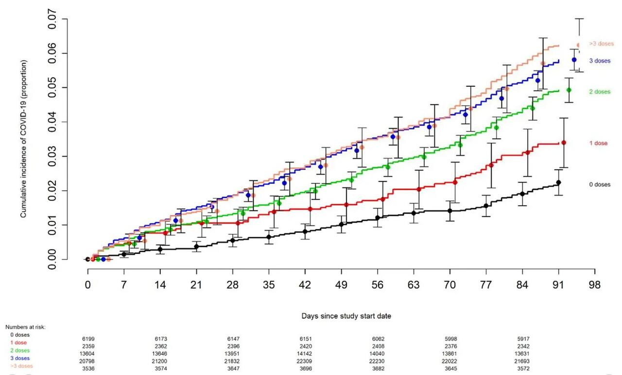
Additionally, in the one case where it was studied in a large group over time, researchers at the Cleveland Clinic found that vaccination made you more likely to catch COVID not less likely (which may explain why repeatedly boosted individuals are now getting COVID far more than the unvaccinated):

Hotez’s 200,000 deaths estimate was based on the assumption that the unvaccinated were 16.3 times as likely to die from COVID as the vaccinated and that at least 80% of the 245,000 deaths which were attributed to COVID during the Delta Wave [May 1 2021-Dec 31 2021] occurred in the unvaccinated. There are a variety of issues with these assumptions (e.g. what I mentioned above and the fact that many hospitalized vaccinated individuals were mislabeled as “unvaccinated” in the official statistics). Of the sources I’ve seen refuting his claims however, I believe they are best shown by this graph:

From looking at this, it should be quite clear it’s intellectually dishonest to say the vaccine almost completely eliminates your risk of dying of COVID and hence that 80% of all COVID deaths must be attributed to vaccine refusal.

However, Hotez of course does not do that, and then proceeds to argue again and again that this “200,000” death toll proves the far-right activity which gave rise to “antiscientism” and hence must be stopped at any cost. Additionally, he made a point to use every opportunity available to slander anything associated with conservatism while claiming the high ground for doing so:

Moreover, I felt that many politicians who endorsed an anti-vaccine agenda did so not out of ignorance but for reasons of partisan expediency. When I began expressing my disgust and anger toward those willing to sacrifice American lives for political gain, that too caused many viewers (judging by the e-mails and notes on social media I received) and journalists (judging by the interview requests following a cable news appearance) to take notice.

A meme I saw shared after the previous article aptly describes the new normal Hotez has pushed for:

Gaslighting

Since Hotez has a very weak case for his narrative, like many gaslighters before him, he has to continually:

  • Completely rewrite the history of what happened.

  • Cite the opinions of rapid partisans as proof of his points.

  • Claim he is a faultless victim everyone is just being mean to.

Note: many internet memes exist to describe individuals who continually poke at hornet’s nest and then complain about getting stung.

This aptly describes Hotez, who is happy to fling very dangerous accusations against anyone who does not support his narrative and simultaneously laments how terrible and unjustified it is that people then tell him they don’t like him.

Indeed, during our calls, Peter [another individual directly involved in creating COVID-19] confirmed his distress and expressed concerns for the safety of his family. What also came through in our conversations was his righteous indignation. He became a scientist to help humankind, only to be vilified as an enemy of the state. For me as well, this aspect of the situation is especially demoralizing. We became scientists to help the nation and the world; as I have explained to Peter on several occasions, we are the true patriots, not the phony ones who attack us.

Some of these same groups even tried to draw me into GOF or lab leak accusations by falsely asserting that our coronavirus vaccine development efforts somehow supported GOF-related work.

Note: this tweet, seen by over a million people concisely describes how Hotez, did in fact do just that and then worked tirelessly to cover it up.

More remarkably, he frequently equated these “unfounded” criticisms against him and Fauci to being treated as an enemy of the state by the totalitarian regimes of the past (e.g., the USSR)—even though most of the press bends over backwards to defend Hotez and his colleagues.

As I explained earlier, attacking science itself rarely suffices in a rising authoritarian regime, whose leaders soon find it necessary to go after individual scientists. We had become enemies of the state.

In parallel to repeatedly dramatizing the suffering he’s experienced from people disagreeing with him, Hotez also makes numerous absurd arguments to support his contention that the pushback he’s gotten (for being the national vaccine spokesman) are completely unfair and unjustified.

For example, Hotez continually claims the animosity he’s received was simply because of the terrible scourge of anti-semitism.

On many occasions I lost my concentration at work or woke up in the middle of the night because I was so upset by these unfounded accusations. In addition to sadness, my other emotion was righteous indignation. After all, I obtained my MD and PhD and worked all my life to develop lifesaving interventions for diseases of the poor. Now a segment of American society sought my public execution in a manner befitting a Nazi doctor. The fact that I am Jewish and had family members suffer in the Holocaust made this period especially demoralizing. Increasingly, I began to notice a connection between anti-science and anti-Semitism. I was targeted in this manner in part because I am a Jewish scientist, and many elements of the far-right embrace attacks on and harassment of the Jewish people.

Yet, Fauci (who is not Jewish) has received far more pushback than Hotez (which Hotez even admits). This hence suggests the pushback they received is the result of something besides bigotry, such as the immensely harmful policies Fauci and Hotez relentlessly promoted and shoved down the public’s throat throughout the pandemic.

Note: like Hotez I am Jewish. One of the major issues I and many in my circle hold towards Hotez is that whenever someone uses “anti-semitism” an excuse to dismiss criticisms of their egregious conduct, it creates genuine animosity towards Jewish people, especially if the individual continually does so on a large public platform.

Similarly, Hotez continually says science should not be politicized and constantly laments that the “far right” is persecuting America’s scientists, but simultaneously, Hotez continually attacks conservatives (and comes up with a variety of rationales to support him politicizing science).

In my case, it is not so much that I care to enter into political disputes, but rather, what I desperately seek is to find ways to convince far-right groups to shun the anti-science element. Because anti-science is such a killer and destroyer of lives in America, my message is to say: This is not ”“your fight. You are entitled to your conservative political views, even extremist views in many cases, but please distance yourself from the anti-science. Too often, however, my efforts to uncouple the anti-science from political extremism are interpreted as something other than my best efforts to save lives. Particularly if I say this on CNN or MSNBC, considered by the mainstream GOP and far-right groups to represent liberal views, my efforts to defeat anti-science are misinterpreted as political theater.

Note: If you explore Hotez’s twitter feed, there are countless examples of him demonstratig that he is very left wing and committed to his political ideology.

Much of this partisan divide emerged during Obama’s presidency, after he made the choice to ally his party with the pharmaceutical industry and support a WHO plan to push childhood vaccine mandates across the country (which at the time Sherri Tenpenny told us was being done to pave the way for adult vaccines in the future). Since much of the public opposed these mandates (e.g., because there were many parents with vaccine injured children), they were met with significant protest. In turn, in each state where it was debated, Democratic legislators voted in unison for the mandates while the Republican legislators (who were not bought out) were eventually persuaded by their constituents to veto the mandates.

This caused vaccination to become a political issue (previously almost everyone in both parties agreed with it). At the time, the pharmaceutical industry was very worried about the issue becoming politicized and turned into a debate. In turn, numerous articles came out (e.g., see this one and this one) that chastised anyone politicizing vaccination and cautioning against legislative actions which could further politicize the issue. Remarkably, it seems that this position was abandoned during COVID-19, which I suspect was the result of the industry concluding the mRNA vaccines were so dangerous the only way they could be pushed on the public was through blind partisan loyalty.

Silencing the Opposition

As health freedom propaganda accelerated in the United States during the previous decade, it became clear that the counteroffensive to halt its progress was insufficient. Private nonprofit and government-led vaccine advocacy groups made heroic efforts to promote positive vaccine messages and provide timely and accurate vaccine information to the public. However, such pro-vaccine advocacy needed parallel efforts to confront anti-vaccine and anti-science aggression and its political ties to conservative politicians, news outlets, and other far-right elements. Health freedom politics proceeded mostly without strong opposition. Then there was the community of professional scientists. While the biomedical scientific community was not exactly invisible, it often lacked the drive and capacity to work aggressively and strategically to dismantle anti-vaccine and anti-science activities.

After arguing “antiscience” was a grave threat to society, Hotez proposed a predictable solution to this “problem”—silence everyone who challenges the scientific narrative, which he quantified through this diagram.

Note: leaked documents recently revealed the Federal Government has begun working with private contractors to censor all dissent online (e.g., by destroying the character of people who speak out so there is an excuse to overtly censor them and by removing their access to the financial system). This approach is done so that the government can bypass the constitutional restrictions prohibiting it from directly censoring speech (e.g., Biden vs. Missouri, the largest government censorship case in modern history, resulted in an injunction being placed against the government working behind the scenes to censor content on social media). When you review Hotez’s suggestions, you’ll notice much of what he is calling for the government to do is what those contractors are already doing behind the scenes and the WHO is trying to publicly enact across the world.

Some of Hotez’s (and presumably the WHO’s) suggestions included:

The fact that the DHHS and US surgeon general have responded at all and that they now work with the major social media platforms is a positive development and one that should continue to be encouraged. However, these actions do not address those generating the content from the far-right, the role of the disinformation dozen in monetizing the Internet, or the Russian government’s weaponized health communication. Given the 20 years of relative neglect by the US government in tackling anti-science aggression [anti-vaccine content], I believe we must realize that this issue goes way beyond the health sector. We need input from other branches of the federal government such as the Departments of Homeland Security, Commerce, Justice—and even State, given the Russian involvement.

Until now, such agencies have been employed to combat more conventional and globalizing threats [e.g., terrorism]. Anti-science aggression now warrants this level of engagement and a counterresponse.

We must seek ways to demonetize the use of the Internet by the disinformation dozen or halt the anti-science aggression emanating from Fox News and elected officials, but in ways that do not violate the Bill of Rights or the US Constitution.

The type of risk-management help should range from legal advice to managing online threats and even assistance with law enforcement. Another opportunity might be to expand the COVID-19 Hate Crimes Act, adopted in 2021 to protect Asian-Americans against political violence, to protect American scientists as well.”

Along those lines, the White House should consider establishing an interagency task force to examine such possibilities and to make recommendations for action to slow the progression of anti-science.

In the meantime, the US government response to anti-science aggression remains modest. The Department of Health and Human Services (DHHS) focuses its energies on Facebook and the social media companies, encouraging them to adjust their computer algorithms to reduce the tidal wave of disinformation. While helpful, this approach by itself does very little to stop the far-right from generating dangerous Internet content or the elected officials who campaign on their successes in attacking science and scientists. The Biden administration is concerned, but so far it has not tapped expertise outside the health sector and sought advice from cabinet departments ranging from Homeland Security to Justice and State. Similarly, the UN agencies wring their hands about the “infodemic” but do not raise this issue with authoritarian leaders in the UN Security Council or General Assembly. Halting anti-science aggression both within their borders or internationally remains a second-tier priority. Regarding GOP extremism, an umbrella under which falls this new anti-science, the Nobel laureate in economics, Paul Krugman, writes, “it cannot be appeased or compromised with. It can only be defeated.” He may be correct.

Finding strategies to slow the spread of anti-science by authoritarian regimes or entities has become one of our great challenges. While the US government and Office of the Surgeon General focus on Facebook or the other social media companies in spreading misinformation, few governments or United Nations agencies wish to confront the source. Therefore, anti-vaccine or health disinformation generated by Russia and other authoritarian governments now proceeds without significant interference…As the State Department and major US intelligence agencies work to diffuse Russian bots and trolls, there is still no national plan to confront anti-science aggression from the far-right and authoritarian regimes. We now face our own internal authoritarian ecosystem whose leaders portray scientists as threats. Some political scientists express concerns that such activities, especially in the context of the January 6, 2021, storming of the US Capitol, threaten the future of democracy in the country.

In parallel, I have suggested to the Biden administration the creation of an interdisciplinary task force of experts from departments such as Homeland Security, Commerce, Justice, and others in recognition of the fact that the loss of human life on this scale, as a result of partisan politics and defiance, is far bigger than what can be managed only by the Department of Health and Human Services. To date, there are no efforts planned to hold congressional hearings on the origins of vaccine refusal leading to this American tragedy. Certainly, there is no enthusiasm for creating an entity that resembles a truth-and-reconciliation commission at the national level similar to efforts made in post-Apartheid South Africa during the 1990s, in order to identify those individuals or groups who encouraged vaccine defiance.

Note: Hotez is effectively saying not only does he want to win, but he wants everyone who disagreed with him to be put through struggle sessions where they are forced to prostrate themselves and apologize for ever not supporting vaccination. That is evil.

This media and political empire is causing unprecedented losses of human life. The pervasive role of disinformation from this segment of society has not gone unnoticed by the Biden administration. In 2021, they proposed forming a new disinformation advisory board through the Department of Homeland Security to begin tackling issues related to not only COVID-19 prevention but also the 2020 US presidential election and other key issues. However, these efforts met with significant opposition from the Senate GOP. As one former intelligence official in Homeland Security pointed out, “You can’t even use the word ‘disinformation’ today without it having a political connotation.” For now, the advisory board has been tabled, and the anti-science political ecosystem continues largely unchallenged.

Conclusion

Now that you have read this entire article, I hope you can appreciate the full context behind the videos I showed at the beginning and I sincerely hope you were able to watch: (fwd to 26:00)

It is my belief that if Hotez can be seen for the deranged individual he is, that will be the most effective way to show the absurdity of what his book puts forth and halt the much darker plans the WHO has been working on behind the scenes.

Fortunately, as the last few years have shown, much of what the vaccine zealots push is so absurd that if we simply use humor to show what they are doing, that is enough to destroy their credibility and derail their plans (and arguably the most effective approach).

Lastly, I need to mention that fellow substacker Maryl Nass MD has been doing a lot of incredible work behind the scenes to stop the totalitarian WHO pandemic treaty. If you would like to know more about her critical work, please consider visiting her non-profit’s website.

*  *  *

I sincerely thank each of you for your support of this publication (sharing critical stories really helps) and how much each of you has done to help shift a narrative I originally thought was an insurmountable mountain could never be challenged.

The Forgotten Side of Medicine is a reader-supported publication. To receive new posts and support my work, please consider becoming a free or paid subscriber.

Tyler Durden
Mon, 01/15/2024 – 23:35

- Advertisement -spot_img

More articles

- Advertisement -spot_img

Latest article